任务要求:找出相机测量所需要的C1与C2数值
具体操作步骤:
- 数据处理:.csv文件中数据为热像仪直接采集数据,其真实数值应该为.csv文件内部数据/1000,单位为℃。
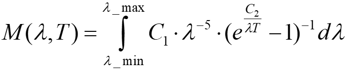
- 普朗克积分公式:

按照如下积分公式,λ的取值范围为7~14um,C1为3.73 W·um^4/cm^2,C2为1.44×10^4 um·K,注意此时C2系数的单位中存在K (开尔文),将.csv文件中单位为℃的数值转换为开尔文时需要加上273.15℃,计算完成后的M数值采用一维向量进行存储。
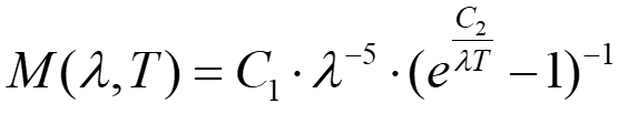
- 普朗克单值形式:

取波长中值:(7+14) / 2 = 10.5,将根据普朗克积分公式计算出来的M数值代入此公式中,采用lsqcurvefit曲线拟合求取C1和C2数值。
- 拟合后相关系数数值:

C1为3.5723×10^5,拟合后的C2为1.568×10^4。





